![]() |
Belle II Software
release-06-00-14
|
A two dimensional circle in its natural representation using center and radius as parameters. More...
#include <Circle2D.h>

Public Member Functions | |
| Circle2D () | |
| Default constructor for ROOT compatibility. Creates an invalid circle. | |
| Circle2D (const Vector2D ¢er, const double radius) | |
| Constructs a circle with given center and radius/ orientation as given by the signedRadius. | |
| Circle2D (const Vector2D ¢er, const double absRadius, const ERotation ccwInfo) | |
| Constructs a circle with given center, absolut value of the radius and orientation. | |
| void | reverse () |
| Flips orientation the circle in place. | |
| Circle2D | reversed () const |
| Returns a copy of the line with the reversed orientation. | |
| void | conformalTransform () |
| Transforms the circle to conformal space inplace. More... | |
| Circle2D | conformalTransformed () const |
| Returns a copy of the circle in conformal space. More... | |
| double | distance (const Vector2D &point) const |
| Calculates the signed distance of the point to the circle line. | |
| double | impact () const |
| Returns the signed distance to the origin. | |
| double | absDistance (const Vector2D &point) const |
| Returns the euclidian distance of the point to the circle line. | |
| ERightLeft | isRightOrLeft (const Vector2D &point) const |
| Return if the point given is right or left of the line. | |
| bool | isLeft (const Vector2D &rhs) const |
| Return if the point given is left of the circle line. | |
| bool | isRight (const Vector2D &rhs) const |
| Return if the point given is right of the circle line. | |
| Vector2D | closest (const Vector2D &point) const |
| Calculates the point of closest approach on the line to the point. | |
| Vector2D | perigee () const |
| Returns the point closest to the origin. | |
| Vector2D | tangential () const |
| Gives the tangential vector at the closest approach to the origin / at the perigee. | |
| double | tangentialPhi () const |
| Gives to azimuth phi of the direction of flight at the perigee. | |
| Vector2D | gradient (const Vector2D &point) const |
| Gradient of the distance field. | |
| Vector2D | normal (const Vector2D &point) const |
| Normal vector to the circle near the given position. | |
| Vector2D | tangential (const Vector2D &point) const |
| Tangential vector to the circle near the given position. | |
| double | openingAngle (const Vector2D &from, const Vector2D &to) const |
| Calculates the angle between two points as seen from the center of the circle. | |
| double | arcLengthBetween (const Vector2D &from, const Vector2D &to) const |
| Calculates the arc length between two points of closest approach on the circle. | |
| double | radius () const |
| Getter for the signed radius. | |
| double | radiusSquared () const |
| Getter for the squared radius. | |
| double | absRadius () const |
| Getter for the absolute radius. | |
| ERotation | orientation () const |
| Indicates if the circle is to be interpreted counterclockwise or clockwise. | |
| Vector2D | center () const |
| Getter for the central point of the circle. | |
Transformations of the circle | |
| void | moveBy (const Vector2D &by) |
| Activelly moves the circle in the direction given in place by the vector given. | |
| void | moveAlongFirst (const double first) |
| Activelly moves the circle in the direction given in place along the first coordinate. | |
| void | moveAlongSecond (const double second) |
| Activelly moves the circle in the direction given in place along the second coordinate. | |
| void | passiveMoveBy (const Vector2D &by) |
| Passivelly move the coordinate system in place by the given vector. | |
| void | passiveMoveAlongFirst (const double first) |
| Passivelly move the coordinate system in place along the first coordinate. | |
| void | passiveMoveAlongSecond (const double second) |
| Passivelly move the coordinate system in place along the second coordinate. | |
Private Attributes | |
| Vector2D | m_center |
| Memory for the central point. | |
| double | m_radius |
| Memory for the signed radius. | |
A two dimensional circle in its natural representation using center and radius as parameters.
Definition at line 26 of file Circle2D.h.
|
inline |
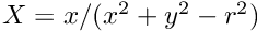
Transforms the circle to conformal space inplace.
Applies the conformal map in the self-inverse from
Definition at line 74 of file Circle2D.h.
|
inline |
Returns a copy of the circle in conformal space.
Applies the conformal map in the self-inverse from
Definition at line 92 of file Circle2D.h.